重氮化及重氮耦合連續流合成唑草胺關鍵中間體
唑草胺是由日本中外制藥研制出的除草劑。因其能抑制脂肪酸延長酶的活性,阻斷長鏈脂肪酸的合成,可防除稻田大多數一年生與多年生闊葉雜草,如稗草、鴨舌草等,對稗草有特效,是一種較為廣泛使用且毒性較低的有效農藥。
1.合成唑草胺傳統工藝介紹
3-(mesitylthio)-1H-1,2,4-triazole是合成唑草胺的關鍵中間體。現有的文獻中,合成該關鍵中間體主要有以下三種方案(圖 1)。

圖1. 唑草胺關鍵中間體的傳統合成方法
第一種方案總的來說,雖然具有很好的轉化率,但是由于反應為固液兩相反應,如果攪拌不充分,反應時間會比較長,而且碳酸鉀的用量較大;
第二種方案收率不錯,但是使用重金屬催化為后續的廢水處理和產品的檢測帶來很多麻煩,環境不友好;
第三種方案和前兩種相比,無論在收率還是在操作上都沒有優勢,尤其是反應中產生的重氮鹽穩定性差,容易分解,稍有不慎就有可能發生爆炸,引發事故。
在如今環保和安全形勢嚴峻的情況下,對其工藝的改進,降低安全風險的同時又能很好地得到產品是具有重大意義。
2.合成唑草胺連續流工藝簡述
近年來,連續流微通道反應備受學術界及工業領域的關注。和傳統間歇釜工藝相比較,連續流技術具有許多優勢。比如反應參數可以做到精準控制、高效的傳熱和傳質、持液體積大大地小于間歇釜、反應效率高、過程更安全等。在化學反應過程中,連續流沒有返混的過程,可以避免一些副反應發生。
近日,浙江工業大學的研究人員在OPRD上發表了一篇文章(DOI: 10.1021 / acs. oprd. 8b00362)介紹了唑草胺關鍵中間體的連續流合成方法。
考慮到合成3-(mesitylthio)-1H-1,2,4-triazole是由兩步反應串聯而成的,同時兼顧連續流工藝的特點,所以研究人員嘗試對傳統第三種方案進行優化。首先需要對第一步制備重氮鹽做出系統地研究,然后再研究脫重氮基反應。
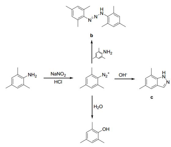
進行連續流工藝優化前,作者研究了釜式反應的工藝,并作出了合理解釋及解決思路。他們認為產生的副反應來自下列原因(圖2):反應產生的重氮鹽大量的堆積,加上溫度低,重氮鹽析出不能充分和底物接觸,進而產生競爭反應,生成副產物(a,b)。溶液的pH值過高導致苯環上甲基被活化從而產出雜質c。

圖 2. 反應過程副產物產生原因分析
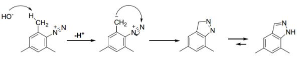
同時,作者也對產物的合成機理給出了合理的建議。

圖3. 產物的可能合成機理
作者認為:
1)微通道連續流反應器可以精準控溫物料參數,溫度不會有很大的波動;
2)同時產生的重氮鹽隨反應液流出,沒有返混過程,所以連續流工藝有機會避免副反應的產生;
3)對于NaOH的用量,可以精準進料,在工藝優化過程中可以優化出最為理想的堿濃度。
在這樣的設想下,研究團隊展開了連續流工藝的優化,設計了工藝流程(圖4),對每一步的參數都做了仔細研究,最終得到了令人滿意的結果。

圖4. 連續流工藝流程示意圖
研究結果顯示,在兩步連續的情況下,總反應停留時間為50秒,反應溫度分別為10°?和25°?,反應收率可達85%,產物純度98%。連續流工藝和釜式工藝相比,不僅提高了轉化率、縮短了反應時間和產品的純度也有所提高,而且很好地避免了副反應的產生,更重要的是大大提高了工藝的安全性(表1)。

圖4. 連續流工藝流程示意圖
研究結果顯示,在兩步連續的情況下,總反應停留時間為50秒,反應溫度分別為10°?和25°?,反應收率可達85%,產物純度98%。連續流工藝和釜式工藝相比,不僅提高了轉化率、縮短了反應時間和產品的純度也有所提高,而且很好地避免了副反應的產生,更重要的是大大提高了工藝的安全性(表1)。

表1. 連續流和釜式工藝結果對比
從雜質的產生來看,連續流工藝具有明顯的優勢。如圖5所示。

圖5. 不同工藝雜質含量對比
3.實驗總結
該重氮化及重氮偶合反應可以在連續流微反應器中順利實現;
反應過程連續化,易于操作和放大,且過程安全性大大提升;
和傳統釜式反應比:反應時間短,收率高,雜質含量低, 是一種較為綠色化的合成工藝。
參考文獻:Org. Process Res. Dev., DOI: 10.1021/ acs.oprd. 8b00362 ? Publication Date (Web): 26 Nov 2018 注:圖片來自原文
