用于甲型流感病毒檢測的離心式微流控芯片
1. RT-LAMP 芯片設計
如圖 1d 所示,芯片由 1mm 或 2mm 厚的 PC 組成。在將所有 PC 層組裝之前用 VISTEX 溶液處理 PC 層上的虹吸通道,使其表面為親水性。
在進行 RT-LAMP 反應之前,將厚厚的 PC 蓋放在組裝好的芯片上避免芯片在 RT-LAMP 過程中彎曲。如圖 1d 所示,PC 蓋上三個半徑為 5mm 的孔與 RT-LAMP 腔對齊以實現有效的熱傳遞。
芯片結構如圖 1 所示。將三個儲液池(用于 RNA 樣品,洗滌液和洗脫液存放)放置于捕獲 RNA 的珠床通道前面。在右側,設計了另一個用于裝載 RT-LAMP 混合物的腔室,其中包含酶混合物,目標特異性引物和反應緩沖液。
在 RNA 樣品入口的內部設計了毛細管閥( 深: 100um, orange ),以防止回流到洗滌和洗脫液腔。
一個 100um 深的堰結構用來填充經 TEOS 處理的微珠(直徑為 150–212μm ),注: 此處文章應該有誤,微珠比堰大肯定進不去。
洗滌液腔通過毛細管閥( 深: 150um ; 寬: 580um, brown )與珠床微通道連接。一個虹吸通道( 深: 100um ; 寬: 580um, orange )橋接在洗脫液腔和珠床微通道之間。洗脫腔中的毛細管閥用于安全地儲存液體,而在洗脫腔中使用虹吸管道是為了按序加載 RNA 樣品,洗滌液和洗脫液。
類似地,RT-LAMP 混合液也使用毛細管閥和虹吸通道,以便在加載洗脫液之前將 RT-LAMP 混合液移至 RT-LAMP 腔。
本文設計的洗滌和洗脫腔,可將溶液穩定地儲存在指定位置。如,所用洗滌液為 70% 乙醇,其接觸角較低。由于 70% 乙醇的高潤濕性,使得裝載的洗滌液通常會沿通道壁不受控制地運動。為了防止這種隨機流動,設計了如圖 1b(i) 的洗滌腔。
一個可產生強大毛細作用力的環形結構( 深: 200um )被提出,該毛細力可以承受液體壓力,抑制洗滌液的泄漏。圖 1b(ii) 顯示了洗滌腔的底視圖,包含了內圈和外圈圖案。
為避免洗滌液注入過程中頂部密封帶被弄濕,制作了一個 250μm 深的圖案,確保了膠帶的完美密封,從而消除 RT-LAMP 過程中的污染和蒸發問題。
洗脫腔和 RT-LAMP 腔也設計了一個具有 250μm 深度的環形圖案,以在注入步驟中牢固地儲存液體,如圖 1c 所示。
廢液腔的入口包含三個毛細管閥( 深: 150um ; 寬: 580um,長: 1000um),以防止廢液倒流到珠床微通道或 RT-LAMP 腔中。RT-LAMP 反應腔的體積為 6 μL,通過虹吸通道與 RT-LAMP 儲液腔直接相連。實驗上,RT-LAMP 混合物比純化的 RNA 溶液傳輸到 RT-LAMP 反應腔的速度更快。
圖 1 芯片描述
2. 試劑準備
如圖 2a 所示,將 RNA 樣本 (甲型流感病毒裂解物或純化的病毒 RNA),洗滌液( 70% 乙醇 ),洗脫液 ( RNase-free water ) 和 RT-LAMP 反應混合物引入指定的腔室。其中,3.5μL 的 RNA 樣品包含 0.5μL 甲型流感病毒樣品,1.25μL 乙醇和 1.75μL 6 M Gu-HCl 。
將樣品加載到各個腔室后,RNA 溶液 ( yellow ) 因珠床微通道的親水性和毛細作用力被自動吸收到珠床微通道中,而位于進樣口上側的毛細管閥可防止樣品溶液倒流到洗滌或洗脫液腔中。然后,將 5μL 洗滌液(70%乙醇,blue),2.2μL 洗脫液(RNase-free water,sky blue)和 4.4μL RT-LAMP反應混合物(green)分別裝入對應腔室。為了阻止溶液的溢出和蒸發,使用一塊粘合膜 (adhesive film) 覆蓋儲液腔和通風孔。
圖 2 芯片的操作流程
3. 芯片操作
珠床微通道中的 RNA 樣品以每分鐘 5000 轉的速度逆時針流動 10 s 。如圖 2b(i) 所示 (yellow) 目標 RNA 和一些雜質被捕獲在堆積的微珠上。然后通過洗滌溶液去除殘留在珠床上的鹽和蛋白質,從而純化捕獲的 RNA, 如圖 2b(ii) 所示 (blue)。
隨后以 5000 RPM 的速度離心 290 s (逆時針) 用來干燥微珠中殘留的乙醇,防止抑制后續的擴增。此時來自 RNA 樣品的廢液和洗滌液被運送到廢液腔。由于離心力和科氏力產生的驅動力使得廢液流向廢液腔,而不是 RT-LAMP 反應腔。如下視頻 1 對此作了解釋。
在低轉速下,科氏力不足以進行流動切換,因此本文采用了較高的旋轉速率,如±5000 轉/分。當芯片停止旋轉時,如圖 2b(iii) 所示, 在 30 s 內將 the RNase-free water 和 RT-LAMP 混合物灌注至虹吸通道。
如圖 2b(iv) 所示, 當轉速沿順時針方向增加至 5000 RPM 時。the RNase-free water 和 RT-LAMP 混合物開始流動。RT-LAMP 混合物更早地流動到 RT-LAMP 反應腔中,the RNase-free water 通過珠床微通道隨后將純化的 RNA 輸送到 RT-LAMP 反應腔中。
由于此時的旋轉方向與初始相反,因此攜帶純化 RNA 的 the RNase-free water 被移至 RT-LAMP 反應腔,而不是廢液腔。該步驟被延長 90 s,以完全回收微珠上的RNA,如圖 2(iv-vi) 所示。
最后,如圖 2c 中的藍綠色所示在 RT-LAMP 反應腔中收集了總共 6μL 的 RT-LAMP 反應混合物 (4μL 的 RT-LAMP 混合物和 2μL 純化的RNA溶液)。如下視頻 2 對反應流程做了詳細說明。隨后 RT-LAMP 反應直接在 64.2°C 下進行 40 min 。
圖 3. 流體流動順序
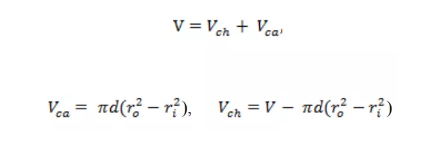
4. 洗滌腔中環形圖案深度的計算
洗滌腔中環形圖案深度被計算如下:
由于總體積是腔室體積(Vch)和毛細管通道體積(Vca)的總和,
所以不等式可以按深度 (d) 排列,得到 d 的最大值如下
免責聲明:文章來源 原創 堯靈 單細胞PCR的微流控芯片研究 以傳播知識、有益學習和研究為宗旨。 轉載僅供參考學習及傳遞有用信息,版權歸原作者所有,如侵犯權益,請聯系刪除。
- 上一條如何選擇二氧化碳培養箱
- 下一條二氧化碳培養箱使用前中后操作規范
