微流體中微流控器件(微流控芯片/微流控導管)內部的液體流量控制
微流控中液體流量的流動需要依據具體的應用而進行調控,調控方式可通過壓力控制器/壓力驅動泵或注射泵來進行調節。根據所驅動液體流量的大小可把流體分為納流體、微流體和毫流體。
納流體,微流體和毫流體
納流體:納米流體主要研究流體在1-100 nm結構尺度下的操縱和控制行為。限制在該級別物理結構上的流體會呈現出在較大物理結構(如微米尺寸及其以上尺寸)上無法觀察到的物理現象,因為流體的特征物理縮放長度(如德拜長度、流體動力學半徑)與納米結構本身的物理尺寸非常相近。
微流體器件通常用通道的直徑來進行表征,通道直徑尺寸范圍從100 nm到100 μm,通常涉及到粒子的直徑范圍大約從10 nm到10 μm。在該尺度的長度上,雷諾系數(Reynolds number)很低,流體流動通常表現出層流特性,但是mass transfer Peclet number通常較大,導致產生獨特的微流體混合區域。
毫流控指毛細管內的流體流動系統,毛細管的內部橫截面尺寸在1 mm以上。傳統流體中毫流控的限制是當雷諾系數(Reynolds number)接近值1時,流體的湍流行為不能再被忽略。
微流體介紹
Navier-Stokes方程
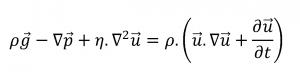
流體流動受Navier-Stokes方程控制。起源于牛頓第二定律的Navier-Stokes方程應用于流體的公式如下:
![]()
其中,這里的力f指單位體積的力。fgravity為重力,fpressure為壓力,fviscous為粘滯力,u為流體速度,ρ為流體密度。

結合以上各分項公式,最終的Navier-Stokes方程變化為如下形式:

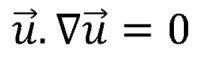
對于不可壓縮的,單向的,穩定的牛頓微流體來講,還可以進一步做簡化。
(1)忽略重力項

(2)由于單向流體的性質(其它方向上的速度矢量分量為零)和質量守恒定律(div(u)=0,[9]),帶有對流算子運算符(advection operator)的對流項(convective term)是零值。

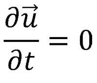
(3)如果流體穩定,那么流體流速的微分項為零。

因此,最后的Navier-Stokes方程變為如下形式:
(12)
該公式表明,可以用壓力來平衡粘滯力。
壓力驅動微流體
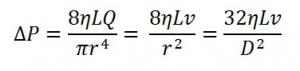
方程(12)可被應用于各種形狀的微通道。對于圓柱形微通道來講,通道內部會形成拋物線型的流速,壓力和流量之間的關系可用Hagen-Poiseuille方程來進行描述:

其中,ΔP為通道兩端的壓強差/壓降,L為通道的總長度,Q為體積流量,r為通道半徑(或D為通道直徑),v為通過通道橫截面的平均流速。
對于方型通道或者低縱橫比(或者長寬比)的矩形通道來講,壓力和流量間關系的良好近似(最壞的近似情況下為0.7%)可用如下公式來描述:

其中,h為通道橫截面高度,w為通道橫截面寬度,μ為流體動力學黏度(單位為kg/m·s,kg/m·s=Pa·s=1000 cP)。
類比于電路中基本定律的流體概念:流阻的概念
微流體通道或納流體通道內液體的平均流速正比于施加在毛細管兩端的壓力梯度。因此,Hagen-Poiseuille方程可重新改寫為類似傳統歐姆定律的形式:

流體阻力依賴于橫截面的幾何形狀。然而,對于大部分的幾何形狀而言,流體阻力可通過如下的方程來預測。

其中,h是通道橫截面高度,w是通道橫截面寬度,μ為流體動力學黏度(單位為kg/m·s,kg/m·s=Pa·s=1000 cP)。

此外,也可以使用類似電路中的相同計算方法來計算微流體或納流體網絡中的流體阻力,流體流速可通過微流體器件的不同部分來推導出來,例如使用類似的經典基爾霍夫定律。流阻概念通過使用毛細管可以很方便的應用于微流體中,毛細管可用作流速限制器同時又可以讓用戶在低流阻裝置中以較低的流速來進行實驗。
有效截面的計算
有效截面Seffect用于計算1 cm長微通道內隨流量變化的典型壓強差或壓降。對于使用水基類的1 cm長的直通道而言,流阻可以使用通道橫截面高度h和通道橫截面寬度w的乘積值(對于圓柱形通道來講,其值可用π×r^2來描述,r為圓柱形通道的半徑)來近似表示。
對于復雜的微流體或納流體網絡,或當使用粘性液體時,有效截面的數值也可以從流體阻力計算中得到。使用上面中提到的經典規則,微流體器件的全部有效截面可以使用總流阻Rtotal和如下方程來得到一個近似值。

其中,L0=0.01 m=1 cm,η0=8.90×10^-4 Pa.s。
外部流量控制的系統
在微流體和納流體器件內部,有三大類系統用來控制液體的運動。有些系統使用壓力差來控制液體的流量(流體靜水力(hydrostatic)或壓力發生器(pressure generator)),而其他系統可以直接產生流量/流速(注射泵)。最后,液體泵(liquid pump)和電滲泵(electro-osmotic pump)可被用來產生液體流動(液體流動速率與器件的流阻有關)。
Hydrostatic Pressure(液體靜壓力/靜水壓力)
在微流體系統中,液體靜壓力是控制液體流動的最簡單的一種方式。壓力差可通過改變不同儲液池內相對于環境界面的液體高度來獲得。對于水基類液體,1 cm的高度差對應于1 mbar,這把該技術的分辨率限制在0.1 mbar,最大壓力限制在100 mbar(1 m的高度差)。

這項技術同樣也受到Laplace pressure的限制,起源于空氣-液體界面的Laplace pressure依賴于液體、大氣環境、儲液池及其形狀間的親和力。從較大儲液池的幾十μBars,這種不可預測的過壓力也可以代表窄橫截面的親水或疏水儲液池內的幾個mbar。
這種系統也受到微通道內缺少施加壓力的動態控制的限制,這種系統對于改變任何的壓力參數變化都會非常的困難。
最后,這種類型的壓力控制的另一個限制是通過液體從一個儲液池流動到另一個儲液池中產生的壓降而造成的漸進壓力變化,從而導致壓降隨時間而呈現出線性減少。
Pressure Generators(壓力發生器)
最簡單的壓力發生器可由壓力源(壓縮機,瓶子)、靜態膜壓力調節器和用來監視壓力值的壓力計組成。系統穩固性和精密性高度依賴于全部組件的良好兼容性。
這類系統的主要缺點是響應的快速性,響應的快速性受到導管的機械形變的限制。但是導管的形變可以靈活的被加以使用:形變導管可被添加在實驗裝置中,用于吸收和抑制液體流動的波動。所以,壓力發生器通過調整實驗裝置可以具有非常高的響應性。另一種快速改變壓力的可能性是使用具有壓力多路復用器的若干個壓力發生器。壓力發生器和壓力多路復用器可通過電腦進行控制并且允許在幾個μs內從一個壓強切換到另一個壓強。
另一種可能是使用一套具有電子壓力傳感器的電磁閥來控制壓力。這種技術的優勢是可以使用微閥來實現快速響應。兩閥門電子壓力發生器的主要缺點是產生的壓力具有脈沖性(恒定壓力可通過正壓開口或排氣電磁閥來確保實現,因此,系統響應越快速,壓力波動就會越高。)。
這種類型的壓力調節器非常適合需要精密壓力模式(如梯度或者正弦壓力變化)的應用。相對于靜態壓力調節器,當過壓或液體進入這類系統時,其精度和快速性會變得比較脆弱。
壓力發生器也可以和流量傳感器聯合使用,以確保使用流速控制而不是壓力控制(在這種情況下,流速反饋控制集成在壓力發生器內)。
Syringe Pump(注射泵)

首先應用于微流控中的流量控制器是注射泵。這些系統首先被開發用于醫藥領域的灌注系統,隨后被微流控科學家采用。注射泵的主要優勢是有能力控制微通道內的液體流量而不會受到流體阻力的影響(壓力自適應調節并維持到相應流速)。
注射泵的主要缺點是低流速下出現脈動流動和達到穩定的有效流速所需要的時間(當導管的一致性不能忽略時)。例如,當長度為10 cm,直徑為0.5 mm的導管表明壓力增加1 bar(10μm^2有效截面的微流體器件內的0.03 μL的流速),其內部直徑有0.1%的變化(+0.5 μm),需要1 min的時間才能達到最終流速值的66%(5 min達到最終流速值的99%,10 min達到最終流速值的99.99%)。
Liquid Pump(Peristaltic, Piezo-Electric)(液體泵(蠕動泵或壓電泵)

液體泵不是完美流量發生器的一種類型因為回壓/反向壓力降低了液體的流量。通常情況下,流量Q可線性表達為回壓的函數,表達式如下:

其中,Qmax是可達到的流量,ΔPmax是泵可以達到的最大回壓。
目前,需要技術可應用于液體泵,其中主要有兩種技術:蠕動泵(主要優勢是使用可互換的軟管(限制污染問題)和適用于較大流量的應用。)和壓電泵(最緊湊的一種泵并且可被應用于中間流量(μL)的流體。)。
流量控制需要用到泵和流量傳感器,流量波動性可在低流量下被觀察到。高效液相色譜(HPLC泵)泵集成全部組件同時降低流量波動,但是表明了HPLC泵是一個昂貴的流量控制系統。
Electro-Osmotic Pump(電滲泵)

電滲泵沒有出現流量波動的問題,因為它們是基于通過納米多孔材料的液體的電激發來實現的。這類系統也可以承受較大的背壓力,但是需要在低導電性液體中工作,同時有可重復性操作的缺點。
微流體應用
(1)化學合成:微通道反應器,微液滴反應器等
(2)分離和分析
(3)生物檢測
(4)單細胞生物
(5)微液滴
(6)微流體流變學/微流體流變儀
(7)光流控
參考文獻
1. http://en.wikipedia.org/wiki/Nanofluidics
2. http://www.kirbyresearch.com/index.cfm/page/ri/ufluids.htm
3. http://en.wikipedia.org/wiki/Navier-Stokes equations
4. http://web.eecs.utk.edu/-jaynewu/Teching/Microfluidic Dynamics
5. Lautrup, B. Physics of Continuous Matter, Second Edition: Exotic and Everyday Phenomena in the Macroscopic World
6/7. http://en.wikipedia.org/wiki/Material_derivative
8. Kirby, B. J. Micro-and Nanoscale Fluid Mechanics: Transport in Microfluidic Devices.(Cambridge University Press, 2010)
9. http://en.wikipedia.org/wiki/Continuity_equation#Fluid_dynamics
10. page elvesys: solution of the Navier-Stokes equation in various microchannel shapes and geometries
11. http://en.wikipedia.org/wiki/Hagen-Poiseuille equation
12. Pressure Drop of Fully-Developed, Laminar Flow in Microchannels of Arbitrary Cross-Section. M. Bahrami, M. M. Yovanovich, J. R. Culham: Transactions of the ASME, Journal of Fluids Engineering, 1004/128, 2006
13. A. Ajdari - Steady flows in networks of microfluidic channels: building on the analogy with electrical circuit - Competes rendus physique - 2004
14. http://en.wikipedia.org/wiki/Kirchhoff's circuit laws
